
刊物名称:国际临床医学
主管单位:新加坡学术出版社
主办单位:新加坡学术出版社
国际刊号:ISSN 2705-1013
刊 期:月刊
主 编:张聪华
投稿邮箱:gjlcyxgw@163.com
电 话:023-68045338
刊社地址:重庆市北部新区洪湖西路
贺 静 翟凌云 倪 娟 韩莹莹 虞 梅 *
上海市徐汇区大华医院超声影像科 上海徐汇 200237
摘 要:目的 探讨剪切波弹性成像(SWE)和彩色多普勒超声在 B 超诊断乳腺非肿块型病变(NML)中的价值。方法 回顾性分析 2018 年 1 月至 2020 年 12 月 116 例 NML 患者(良性 42 例,恶性 74 例)的超声检查结果,评估平均弹性值 (Emean)、最大弹性值(Emax)及血管分布,计算三种检查的诊断效能。结果 良性组 Emean、Emax 显著低于恶性组, 血管分布更少(P<0.001)。BI-RADS 4a 级 NML 以 “Emean ≤ 85.1kPa 和 / 或乏血管分布” 降至 3 级后,特异性从 69% 提升至 90.5%(P < 0.001),敏感性无明显变化,59.3% 降级病变为良性。结论 B 超联合 SWE 和彩色多普勒可提高 NML 良恶性鉴别能力,避免 BI-RADS 4a 级患者不必要的活检。
关键词:非肿块性病变;剪切波;弹性成像;多普勒;乳腺
乳腺超声(Ultrasound,US)是乳腺病变鉴别诊断的常 用手段,乳腺影像报告与数据系统(reast imaging reporting and data system,BI-RADS)为其提供标准化术语,其中 “肿块” 需在 2 个投照位置可见且能与正常解剖结构区分 [1]。但高分 辨率超声的应用使非肿块型病变(Non-mass lesions,NML) 检出率升高 [2],且部分良恶性病变常规超声特征重叠 [3],增 加了鉴别难度。
超声弹性成像(Utrasonographic elastography,USE)与 彩色多普勒超声可辅助表征乳腺病变 [4]:剪切波弹性成像 (Shear-wave elastography,SWE)量化组织弹性、提升肿块 诊断价值 [5-6],彩色多普勒显示血管分布、助提高诊断率 [7-8]。 但相关研究多针对肿块,难直接用于非肿块型病变(NMLs)。 本研究评估 NMLs 的 SWE 与彩色多普勒特征,探究联合诊 断价值。
1 研究对象与方法
1.1 研究对象
经伦理委员会批准,纳入 2018-2020 年本院 NML 患者, 排除术前化疗、SWE 图像伪影严重者,最终 116 例入组(恶 性 74 例,良性 42 例)。诊断以病理结果为金标准,患者随 访 10-20 个月。
1.2 超声检查与分析
采用 15-4MHz 线性阵列换能器超声系统,由 9 年以上 经验医师操作,完成 B 超(BI-RADS 分级 3-5 级)、SWE(量 化 Emean、Emax)及彩色多普勒(评估血管分布)检查。
1.3 统计分析
采用 SPSS20.0 行 t 检验、卡方检验,计算敏感性、特 异性及 AUC,P<0.05 为差异有统计学意义。
2 结果
2.1 良性组和恶性组 NMLs 临床特征比较
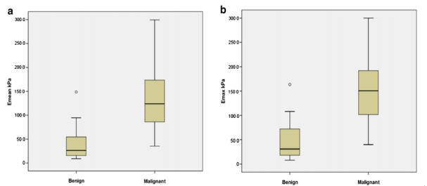
恶性组病灶直径(3.2±1.6cm)大于良性组(1.9±1.0cm), BI-RADS 分级更高,钙化更常见(P<0.001)。SWE 参数: 恶性组 Emean(134.6±67.1kPa)、Emax(152.0±70.1kPa) 显著高于良性组(38.7±30.8kPa、44.0±34.1kPa,P<0.001)(图 1)。良性组 SWE 多为蓝系色,彩色多普勒以无 / 单支血流 为主;恶性组多为红 - 橘色,90.5% 呈高血管性(P<0.001) (表 1)。

图 1 良性和恶性 NMLs 患者 Emean(a)和 b Emax(b)比较
注:良性组(○)为肉芽肿性小叶性乳腺炎
表 1 良性组和恶性组 NMLs 临床特征比较

2.2 B 超、SWE 及多普勒超声在鉴别非肿块性病变良恶 性的价值分析
SWE 中 Emean 的 AUC 最高(0.924),联合 SWE 与彩 色多普勒 AUC 为 0.801(图 2)。与 B 超(特异性 23.8%)相比, SWE、彩色多普勒及联合检查特异性更高(64.3%-95.2%) (表 2)。BI-RADS 4a 级降级后,B 超联合 SWE 特异性达 90.5%,三者联合敏感性维持 97.3% 以上,19 例降级者均为 良性(图 3)。
表 3 BI-RADS 4a 级降至 3 级时,SWE 及多普勒超声敏感性和特 异性变化
注:数据为恶性肿瘤数量或括号中病变数量的百分比。
B 超与 B 超和辅助超声 (SWE 和 / 或彩色多普勒超声 ) 间的 P 值。
* 如果 Emean ≤ 85.1kPa,则 BI-RADS 4a 级降级为 3 级。
* 如果低血管性,则 BI-RADS 4a 级降级为 3 级。
* 如果 Emean ≤ 85.1kPa 或低血管性,则 BI-RADS 4a 级降级为 3 级。
表 2 B 超、SWE 及多普勒超声在鉴别非肿块性病变良恶性中的价值

注:数据为恶性肿瘤数量或括号中病变数量的百分比。AUC:曲线下面积,PPV:阳性预测值,NP:V 阴性预测值。

图 2 1 例 44 岁女性经超声引导活检及手术切除诊断为浸润性导管癌
注:a,超见右乳外上象限非肿块型病变,范围 31mm×10mm, BI-RADS 评 级 为 4B;b,2. 彩 色 多 普 勒 超 声 显 示 分 枝 状 彩 色 血 流,RI:0.72;c,SWE 图 像 显 示:Emean:100.6KPa,Emax: 115.0KPa。

图 3 1 例 44 岁女性经手术病理证实为乳腺病
注:a,B 超 图 像 显 示 一 个 2.8cm 的 非 肿 块 病 变, 评 估 为 BIRADS 4a 级(箭头);b,超见右乳头内上方不规则低回声区, 范 围 16mm×9mm,BI-RADS 评 级 为 4A; 和 c,SWE 图 像 显 示: Emean:12.5KPa,Emax:17.2KPa。
3 讨论
乳腺 NML 超声表现隐匿,良恶性鉴别困难。本研究 中,良性 NML 弹性值低、血管少,与既往研究一致 [9-10]; SWE 与彩色多普勒的高特异性可提升 B 超诊断价值。将 4a 级符合 “Emean ≤ 85.1kPa 或低血管性” 者降级,可使 59.4% 患者避免不必要活检,且无恶性漏诊。钙化是 NML 恶性潜在特征 [11],但超声显示不及钼靶,需联合检查。
本研究存在局限:单中心回顾性设计、医师操作可能 存在变异、未评估钼靶表现。 总之,B 超联合 SWE 和彩色多普勒可提高 NML 良恶性 鉴别的特异性,能避免 BI-RADS 4a 级患者不必要的活检。
参考文献:
[1]Destrempes F, Trop I, Allard L, et al. Added Value of Quantitative Ultrasound and Machine Learning in BI-RADS 4-5 Assessment of Solid Breast Lesions. Ultrasound Med Biol. 2020. 46(2): 436-444.
[2]Ayatollahi F, Shokouhi SB, Teuwen J. Differentiating benign and malignant mass and non-mass lesions in breast DCEMRI using normalized frequency-based features. Int J Comput Assist Radiol Surg. 2020. 15(2): 297-307.
[3]Wang ZL, Li N, Li M, Wan WB. Non-mass-like lesions on breast ultrasound: classification and correlation with histology. Radiol Med. 2015. 120(10): 905-10.
[4] 郭振东 . 超声弹性成像联合 BI-RADS 分级对乳腺占 位病变的鉴别诊断价值研究 . 影像研究与医学应用 . 2023. 7(3): 41-43.
[5]Youk JH, Son EJ, Park AY, Kim JA. Shear-wave elastography for breast masses: local shear wave speed (m/sec) versus Young modulus (kPa). Ultrasonography. 2014. 33(1): 34-9.
[6]Lee SH, Chang JM, Kim WH, et al. Added value of shearwave elastography for evaluation of breast masses detected with screening US imaging. Radiology. 2014. 273(1): 61-9.
[7] 王慧珠 , 苑婉茹 , 栗河舟 , 张莹莹 . 三维能量多普勒 超声联合 VOCAL 法对乳腺 BI-RADS 4 类肿块的诊断价值 . 中 国医学影像学杂志 .2022.30(10): 6.
[8] 刘森 , 郑云 . 超声弹性成像 , 彩色多普勒血流显像及 超声造影技术联合应用对乳腺占位性病变的鉴别诊断价值 . 实用临床医药杂志 . 2023. (024): 027.
[9]Park SY, Choi JS, Han BK, Ko EY, Ko ES. Shear wave elastography in the diagnosis of breast non-mass lesions: factors associated with false negative and false positive results. Eur Radiol. 2017. 27(9): 3788-3798.
[10] 郁玉文 , 范晓芳 , 康莉 , 李卫民 , 吕庆 , 吴文娟 . BIRADS 分类标准与剪切波弹性成像技术在乳腺良恶性病变 鉴别诊断中应用价值分析 . 临床军医杂志 . 2021. 49(2): 176- 177,179.
[11] Ko KH, Hsu HH, Yu JC, et al. Non-mass-like breast lesions at ultrasonography: feature analysis and BI-RADS assessment. Eur J Radiol. 2015. 84(1): 77-85. 通讯作者:虞梅(Email:yumeiyue1894264@163.com)
基金项目:上海市自然科学基金(No:2023CL0247)。
Copyright© 2009~2025 查稿邮箱① : gjzzbjb@vip.163.com 邮箱② : gjlcyxgw@163.com 电话:023-68045338
本站所刊登的文章信息均为作者已经发表,未经协议授权禁止下载使用